Allgemeines Projekt
Modellierung der Wärmebehandlung an Kugelgewindespindeln unter Berücksichtigung vorgeschalteter Prozessschritte
Die Firma SFS intec verwendet ein induktives Verfahren zum Härten der Randschichten von Kugelgewindespindeln. Es wird beobachtet, dass sich bei der Randschichthärtung die Spindeln verbiegen und verkürzen. Diese Mass- und Formänderungen führen zu einem hohen Ausschuss und machen derzeit eine 100%-Kontrolle notwendig. Um den Ausschuss und folglich die Herstellungskosten zu senken, soll der Wärmebehandlungsprozess modifiziert werden. Hierfür wird als erster Schritt der bestehende induktive Härteprozess von Gewindespindeln in einer FEM-Simulation abgebildet und mit Hilfe von Experimenten validiert. Das validierte Modell soll anschliessend verwendet werden, um den Einfluss verschiedener Prozessparameter zu untersuchen und um ein besseres Prozessverständnis zu erhalten. Zudem soll der Einfluss des Ausgangsmaterials und der Spindelfertigung auf den Verzug analysiert werden.
Keywords: Härteprozess, Gefügeumwandlung, Wärmebehandlung, FEM-Simulation
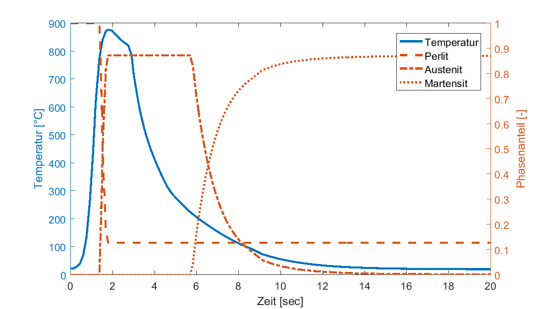
Die induktive Randschichthärtung wird in einer Multiphysics-Simulation abgebildet. Diese ist numerisch aufwendig und physikalisch anspruchsvoll, da elektromagnetische, thermische und mechanische Phänomene sowie die Phasenumwandlungen des Stahls gekoppelt in einem Modell abgebildet werden müssen. Zudem müssen die Materialdaten des Stahls für einen grossen Temperaturbereich und in Abhängigkeit seines Gefügezustandes ermittelt werden.
In dieser Arbeit konnte das Potential der numerischen Simulation im Bereich der Wärmebehandlung eindeutig nachgewiesen werden. Die messtechnische Validierung der Simulationsergebnisse zeigt, dass der induktive Härteprozess realitätsgetreu abgebildet werden kann. Für die Validierung wurden Temperaturverläufe mit Thermoelementen aufgenommen, Makroschliffe angefertigt sowie Härteprofile und Längenänderungen gemessen. Diese gemessenen Resultate stimmen mit den entsprechenden simulierten Werten sehr gut überein. Dies gilt für den induktiven Härteprozess sowohl im Vorschub- als auch im Standverfahren.
Um den Prozess zu analysieren, wurde mit dem validierten Modell eine Parameterstudie durchgeführt. Die Untersuchungen zeigen, dass die Temperaturen und Härtewerte, die durch die induktive Erwärmung und nachfolgende Abschreckung erreicht werden, vor allem durch den Induktorstrom (Stromstärke und Frequenz) sowie die Vorschubgeschwindigkeit beeinflusst werden. Der Einfluss des Wärmeübergangskoeffizienten bei der Abschreckung ist dagegen vernachlässigbar. Auch durch Anpassung der Induktorgeometrie kann nur ein kleiner Einfluss auf das Härteergebnis erzielt werden.
Als Ursache für die Form- und Massänderungen, die während der Randschichthärtung entstehen, konnten Eigenspannungen, welche sich bereits vor der Wärmbehandlung im Bauteil befinden, identifiziert werden. In Versuchen wurde gezeigt, dass diese einerseits schon im Ausgangsmaterial vorhanden sind und andererseits bei der Weiterverarbeitung des Ausgangsmaterials (Gewinderollen, Drehen, usw.) ins Bauteil eingebracht werden.
Zusammenfassend lässt sich festhalten, dass das induktive Randschichthärten durch die Simulation sehr realitätsgetreu abgebildet wird. Mit diesen Modellen und Experimenten konnte gezeigt werden, dass nicht der induktive Härteprozess, sondern die Eigenspannungen, welche sich bereits vor der Wärmbehandlung im Bauteil befinden, für die Mass- und Formänderungen verantwortlich sind.
Quellen:
[1] Heess, K.: Mass- und Formänderungen infolge Wärmebehandlung von Stählen: Grundlagen-Ursachen-Praxisbeispiele. 4. Auflage. Expert-Verlag, 2011
[2] Zoch, H.-W.; Spur, G.: Handbuch Wärmebehandeln und Beschichten. Handbuch der Fertigungstechnik. Hanser, 2015
[3] Koistinen, D.P.; Marburger, R.E.: A general equation prescribing the extent of the austenite-martensite transformation in pure iron-carbon alloys and plain carbon steels. In: Acta Metallurgica 7 (1959), S. 59-60
[4] Surm, H.; Kessler, O.: Modelling the ferrite/carbide – austenite transformation of hypoeutectoid and hypereutectoid steels. J. Phys. IV France 120 (2004) 111-119
Laufzeit: 11.12.2016







